Pi the Number, not the Movie


References and digits of Pi:

    Here are two excellent references about pi:

    Here are listings of digits of pi to different bases:

    The May 6, 1993 episode of The Simpsons has the character Apu boast "I can recite pi to 40,000 places. The last digit is one." See the 40000 digits above, where the 40000th one is red. (A colleague of Borwein actually supplied this information to the Simpson's program: see "Life of Pi on slides" above.)

    The most interesting decimal run in pi starts in position 762 (row 7, column 7), where 9999998 occurs (six nines in a row). The number two times pi has "...399999997..." (seven nines) at the same place.

    Expressions giving an approximation of pi: pi from an expression.


C program giving 15000 digits of pi:

    Rabinowitz and Wagon gave an amazing algorithm to compute decimal digits of pi, based on the series given below. The "algorithm uses only bounded integer arithmetic and is surprisingly efficient. Moreover, it admits extremely concise implementations. Witness, for example, the following (deliberately obfuscated) C program due to Dik Winter and Achim Flammenkamp ...." (See Unbounded Spigot Algorithms for the Digits of Pi, by Jeremy Gibbons, Math. Monthly, April 2006, pages 318-328.)

    C program to calculate 15000 digits of pi The Formula used
    a[52514],b,c=52514,d,e,f=1e4,g,h;
    main(){for(;b=c-=14;h=printf("%04d", e+d/f))
    for(e=d%=f;g=--b*2;d/=g)d=d*b+f*(h?a[b]:f/5),a[b]=d%--g;}
    
    PI as infinite series
    Output of a run
    here (with newlines inserted by hand), or here

    This is called a spigot algorithm because it spits out digits as if from a spigot. Other versions of this program can be found on the Internet. Still, with this method one has to commit ahead of time to a specific number of digits to calculate. The next method doesn't have this weakness.


Calculating arbitrarily many digits of pi:

    The Ruby release has a remarkably short and simple Ruby program that calculates arbitrarily many decimal digits of pi. This algorithm uses the continued fraction representation on the right below and requires library functions that do arbitrarily large integer arithmetic.

    Ruby program to calculate pi The Formula used
    #!/usr/local/bin/ruby
    k, a, b, a1, b1 = 2, 4, 1, 12, 4
    loop do
      p, q, k = k*k, 2*k+1, k+1
      a, b, a1, b1 = a1, b1, p*a+q*a1, p*b+q*b1
      d, d1 = a/b, a1/b1
      while d == d1
        print d
        $stdout.flush
        a, a1 = 10*(a%b), 10*(a1%b1)
        d, d1 = a/b, a1/b1
      end
    end
    PI as continued fraction
    Output of a run
    % pi.rb
    3141592653589793238462643383279502884 ...
    


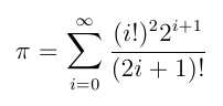
Calculating Pi using a simple series:


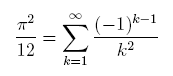
Calculating Pi using another series:

    Here is another series whose sum can be approximated just like the one above:

    PI from a series

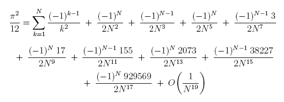
    Everything done for Gregory's series can be done for this one: see reciprocals of squares. In particular, I discovered the following formula (without proof) that I haven't seen elsewhere:

    PI from a series

    Here the coefficients in the numerators above (leaving off the first 1): 1, 1, 3, 17, 155, 2073, 38227, 929569, ... are called Genocchi numbers (after an Italian mathematician).


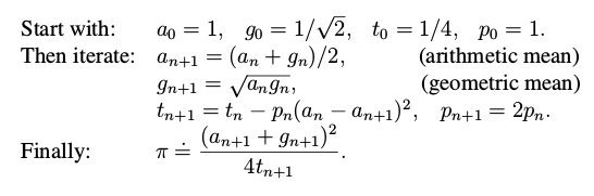
Calculating Pi using the Arithmetic-Geometric mean:

    An advanced iterative method to efficiently calculate Pi is given at:

    The algorithm gives slightly more than double the number of digits with each iteration.

    PI from iteration

    Here is a Python implementation of the algorithm. It requires a Python arbitrary precision floating point package (mpmath). (Here is a listing of the code below: listing.)

    python program

    Here is a run of the above code, using four iterations and 70-digit floating point numbers. The result is Pi to 40 digits of accuracy. There was no need for 70 digit calculations, but it could have been just a few more than 40.

      # Here is the actual run:
      # Prec:  70 , iters:  4
      #     3.141592653589793238462643383279502884197114678283648921556617106976027
      #
      # pi: 3.141592653589793238462643383279502884197169399375105820974944592307816
      #                1         2         3         4         5         6         7
      #       1234567890123456789012345678901234567890123456789012345678901234567890
      
    Here is a summary of results of the first 13 iterations, which gives more than 40,000 digits of Pi. Even though 40,000-digit floating point accuracy is required in the calculations, only relatively few operation (a hundred or so) are needed. This method is far faster than others in this writeup. The 40,000 digits of Pie are obtained on my ancient PC with no noticable delay.

      # summary results for successive values of N
      # col 1: the value of N in the program
      # col 2: actual num of correct digits produced each time
      # col 3: = 2 times col2: expected correct digits next time
      # col 4: extra correct digits actually produced next time
      # (very slightly more than doubling each time)
      #  1   2       4       3
      #  2   7       14      4
      #  3   18      36      4
      #  4   40      80      3  (this is the actual run above)
      #  5   83      166     4
      #  6   170     340     4
      #  7   344     688     5
      #  8   693     1386    5
      #  9   1391    2782    5
      #  10  2787    5574    7
      #  11  5581    11162   8
      #  12  11170   22340   7
      #  13  22347  > 40000  A BIT QUICKER THAN DOUBLING
      


Revision date: 2023-11-03. (Use ISO 8601, an International Standard.)