

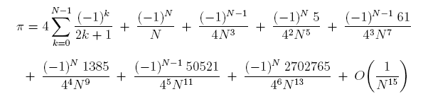
As detailed in the writeup The Life of Pi, by J.M. Borwein, the numbers in the numerators of each term above, namely, 1, -1, 5, -61, 1385, -50521, 2702765, ... are called Euler numbers because they were discovered and extensively studied by the great Swiss mathematician Leonhard Euler. The calculations below illustrate these formulas.
| Calculate Pi Using Euler Terms |
|---|
// Euler: compute pi approximately
import java.text.DecimalFormat;
public class Euler {
public static DecimalFormat d16 = new
DecimalFormat("0.0000000000000000");
public static void main(String[] args) {
double N = Integer.parseInt(args[0]);
double sum = 0.0; // final sum
double term; // each term, without sign
double sign = 1.0; // sign on each term
for (int k = 0; k < N; k++) {
term = 1.0/(2.0*k + 1.0);
sum += sign*term;
sign = -sign;
}
sum *= 4.0;
// assuming that N is even
// if N is odd, reverse all signs below
System.out.println("0: " + d16.format(sum));
sum += 1.0/N;
System.out.println("1: " + d16.format(sum));
sum -= 1.0/4/N/N/N;
System.out.println("2: " + d16.format(sum));
sum += 5.0/16/N/N/N/N/N;
System.out.println("3: " + d16.format(sum));
sum -= 61.0/64/N/N/N/N/N/N/N;
System.out.println("4: " + d16.format(sum));
sum += 1385.0/256/N/N/N/N/N/N/N/N/N;
System.out.println("5: " + d16.format(sum));
sum -= 50521.0/1024/N/N/N/N/N/N/N/N/N/N/N;
System.out.println("6: " + d16.format(sum));
sum += 2702765.0/4096/N/N/N/N/N/N/N/N/N/N/N/N/N;
System.out.println("7: " + d16.format(sum));
}
}
|
| N = 2 | N = 4 | N = 6 | N = 8 | N = 10 | |
|---|---|---|---|---|---|
0 1 2 3 4 5 6 7 | 2.6666666666666670 3.1666666666666670 3.1354166666666670 3.1451822916666670 3.1377360026041670 3.1483027140299480 3.1242124239603680 3.2047610978285475 | 2.8952380952380956 3.1452380952380956 3.1413318452380956 3.1416370210193456 3.1415788468860450 3.1415994849942983 3.1415877221573503 3.1415975547591410 | 2.9760461760461765 3.1427128427128430 3.1415554353054356 3.1415956230626370 3.1415922182665410 3.1415927551110987 3.1415926191207060 3.1415926696428860 | 3.0170718170718180 3.1420718170718180 3.1415835358218180 3.1415930725649820 3.1415926180795655 3.1415926583883707 3.1415926526447980 3.1415926538450667 | 3.0418396189294032 3.1418396189294033 3.1415896189294035 3.1415927439294036 3.1415926486169035 3.1415926540270600 3.1415926535336904 3.1415926535996760 |
| N = 12 | N = 14 | N = 16 | N = 18 | N = 20 | |
|---|---|---|---|---|---|
0 1 2 3 4 5 6 7 | 3.0584027659273330 3.1417360992606667 3.1415914233347406 3.1415926792021533 3.1415926526021840 3.1415926536507084 3.1415926535843070 3.1415926535904740 | 3.0702546177791854 3.1416831892077570 3.1415920813360367 3.1415926623811368 3.1415926533393637 3.1415926536012164 3.1415926535890333 3.1415926535898646 | 3.0791533941974280 3.1416533941974280 3.1415923590411780 3.1415926570644017 3.1415926535137344 3.1415926535924625 3.1415926535896580 3.1415926535898047 | 3.0860798011238346 3.1416353566793900 3.1415924897383750 3.1415926551200917 3.1415926535632575 3.1415926535905320 3.1415926535897643 3.1415926535897960 | 3.0916238066678400 3.1416238066678397 3.1415925566678395 3.1415926543240897 3.1415926535794610 3.1415926535900276 3.1415926535897870 3.1415926535897950 |