| |

Pi from a Continued Fraction
How the Algorithm Works
Pi and Other Constants, 40000 digits:
pi,
e,
phi,
sqrt(2)
The algorithm, illustrated with
a Ruby program:
Below is a Ruby program that will
produce arbitrarily many digits of pi,
until one runs out of dynamic memory. It requires that
Ruby supports arbitrarily large integer arithmetic,
memory permitting. The program uses the infinite
continued fraction expansion for pi at the right.
| Ruby program to calculate pi |
Continued Fraction Used |
#!/usr/local/bin/ruby
k, a, b, a1, b1 = 2, 4, 1, 12, 4
loop do
p, q, k = k*k, 2*k+1, k+1
a, b, a1, b1 = a1, b1, p*a+q*a1, p*b+q*b1
d, d1 = a/b, a1/b1
while d == d1
print d
$stdout.flush
a, a1 = 10*(a%b), 10*(a1%b1)
d, d1 = a/b, a1/b1
end
end |
 |
| Output of a
run |
% pi.rb
3141592653589793238462643383279502884 ...
|
The algorithm as shown above is actually general-purpose and can
be adapted to evaluate any continued fraction.
Producing pi without the individual
digits:
Keep just the first two lines inside the loop,
and leave off the variables d, d1, and the
entire inner loop.
| Truncated Ruby program |
#!/usr/local/bin/ruby
k, a, b, a1, b1 = 2, 4, 1, 12, 4
while k < 11
p, q, k = k*k, 2*k+1, k+1
a, b, a1, b1 = a1, b1, p*a+q*a1, p*b+q*b1
printf "k:%2i, a/b:%14i/%13i, pi:%18.12f\n",
k, a, b, a.to_f/b.to_f
end |
| Output of a
run |
% pid.rb
k: 3, a/b: 12/4, pi: 3.000000000000
k: 4, a/b: 76/24, pi: 3.166666666667
k: 5, a/b: 640/204, pi: 3.137254901961
k: 6, a/b: 6976/2220, pi: 3.142342342342
k: 7, a/b: 92736/29520, pi: 3.141463414634
k: 8, a/b: 1456704/463680, pi: 3.141614906832
k: 9, a/b: 26394624/8401680, pi: 3.141588825092
k:10, a/b: 541937664/172504080, pi: 3.141593311880
k:11, a/b: 12434780160/3958113600, pi: 3.141592540447 |
| Convergents: partial evaluation of continued fraction |
 |
In the program, k is the depth of iteration
(after incrementing) of the continued fraction,
p is k2, and q
is 2*k + 1.
Finally a and b give the numerator and denominator
of the fraction that is the continued fraction to depth k, written
as the quotient of two integers, without any reduction to lowest terms,
and a1 and b1 are the a and
b values at the next iteration. The fractions
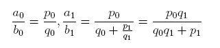
a/b and a1/b1 are called convergents,
and they converge to the value of the infinite continued fraction.
A general continued fraction:
A general infinite continued fraction might take the form on the
left below, while the convergents are shown on the right:
Then the following equations can be proven
(using induction -- such proofs are in
several places on the web, although not proving equations in
exactly in this form).
These equations allow easy calculation of the convergents.
Of course the Ruby program just uses these, with almost the
same notation. A normal programming language would have to keep track
of three convergents, while Ruby with its multiple assignment
statement allows one to work with an "old" a/b and a1/b1,
and then "new" versions.
Also the program only needs one p and one
q at a time.
Showing the individual
digits of pi produced:
The first convergent is 4/1. The next two
convergents are 12/4 and 76/24.
(The first two convergents are assigned by initialization.
All subsequent convergents are calculated using the formulas
in the previous section.)
When divided, using integer arithmetic, convergents 2 and 3 both yield
3, so a 3 (shown as
bold red in the output below)
would be output by the original program. (The program below commented
out that simple output, and inserted three new print statements.)
Now the 12/4 and the
76/24 each has the 3 that was output
subtracted from it (using the % operator),
and each is multiplied by 10 to get ready
for the next output digit. And so it goes ...
| Ruby program with extra output | Output of a
run |
#!/usr/local/bin/ruby
k, a, b, a1, b1 = 2, 4, 1, 12, 4
while k < 9
printf "k:%2i\n", k
p, q, k = k*k, 2*k+1, k+1
a, b, a1, b1 = a1, b1, p*a+q*a1, p*b+q*b1
# Print common digits
d = a / b
d1 = a1 / b1
printf " Out:d:%i,d1:%i,p:%2i,q:%2i, a1/b1:%i/%i\n",
d, d1, p, q, a1, b1
while d == d1
# print d
# $stdout.flush
a, a1 = 10*(a%b), 10*(a1%b1)
d, d1 = a/b, a1/b1
printf " In: d:%i,d1:%i, a1/b1: %i/%i\n",
d, d1, a1, b1
end
end
|
k: 2
Out:d:3,d1:3,p: 4,q: 5,a1/b1: 76/24
In: d:0,d1:1, a1/b1: 40/24
k: 3
Out:d:1,d1:1,p: 9,q: 7,a1/b1: 280/204
In: d:6,d1:3, a1/b1: 760/204
k: 4
Out:d:3,d1:4,p:16,q: 9,a1/b1: 9400/2220
k: 5
Out:d:4,d1:4,p:25,q:11,a1/b1: 122400/29520
In: d:2,d1:1, a1/b1: 43200/29520
k: 6
Out:d:1,d1:1,p:36,q:13,a1/b1: 748800/463680
In: d:4,d1:6, a1/b1: 2851200/463680
k: 7
Out:d:6,d1:5,p:49,q:15,a1/b1: 49471200/8401680
k: 8
Out:d:5,d1:5,p:64,q:17,a1/b1: 1023487200/172504080
In: d:8,d1:9, a1/b1: 1609668000/172504080 |
Other constants given by
continued fractions:
Here are several other constants given by continued fractions,
as well as another one for pi:
| Ruby program to calculate sqrt(2) |
Continued Fraction Used |
#!/usr/local/bin/ruby
k, a, b, a1, b1 = 2, 3, 2, 7, 5
loop do
p, q, k = 1, 2, k+1
a, b, a1, b1 = a1, b1, p*a+q*a1, p*b+q*b1
d = a / b
d1 = a1 / b1
while d == d1
print d
$stdout.flush
a, a1 = 10*(a%b), 10*(a1%b1)
d, d1 = a/b, a1/b1
end
end |
 |
| Output of a
run |
% sqrt2.rb
14142135623730950488016887242096980785696...
|
| Ruby program to calculate e |
Continued Fraction Used |
#!/usr/local/bin/ruby
k, a, b, a1, b1 = 2, 3, 1, 8, 3
loop do
p, q, k = k, k+1, k+1
a, b, a1, b1 = a1, b1, p*a+q*a1, p*b+q*b1
d = a / b
d1 = a1 / b1
while d == d1
print d
$stdout.flush
a, a1 = 10*(a%b), 10*(a1%b1)
d, d1 = a/b, a1/b1
end
end |
 |
| Output of a
run |
% sqrt2.rb
2718281828459045235360287471352...
|
| Ruby program for phi (Golden Ratio) |
Continued Fraction Used |
#!/usr/local/bin/ruby
k, a, b, a1, b1 = 2, 2, 1, 3, 2
loop do
p, q, k = 1, 1, k+1
a, b, a1, b1 = a1, b1, p*a+q*a1, p*b+q*b1
d = a / b
d1 = a1 / b1
while d == d1
print d
$stdout.flush
a, a1 = 10*(a%b), 10*(a1%b1)
d, d1 = a/b, a1/b1
end
end |
 |
| Output of a
run |
% sqrt2.rb
1618033988749894848204586834365...
|
| Another program for e |
Continued Fraction Used |
#!/usr/local/bin/ruby
k, a, b, a1, b1 = 2, 3, 1, 8, 3
loop do
p, q, k = 1, 1, k+1
if k%3 == 2 then
q = 2*(k+1)/3
end
a, b, a1, b1 = a1, b1, p*a+q*a1, p*b+q*b1
d = a / b
d1 = a1 / b1
while d == d1
print d
$stdout.flush
a, a1 = 10*(a%b), 10*(a1%b1)
d, d1 = a/b, a1/b1
end
end |
 |
| Output of a
run |
% sqrt2.rb
2718281828459045235360287471352...
|
Here is another continued fraction to try:
Revision date: 2009-07-19.
(Use ISO 8601,
an International Standard.)
|