Python
13.4 Iterative Pi

 


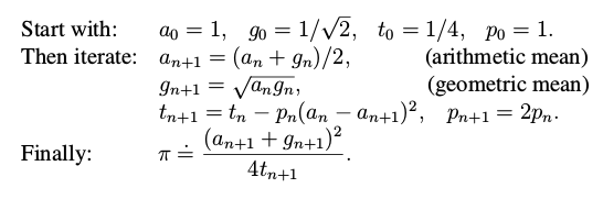
Iterative Pi, using the Arithmetic-Geometric mean:

    An advanced iterative method to efficiently calculate Pi is given at the Wikipedia web page:

    The algorithm gives slightly more than double the number of digits with each iteration.

    Here is a Python implementation of the algorithm. It requires a Python arbitrary precision floating point package (mpmath).

    Arithmetic-geometric Iteration
    # Pie.py: calculate pi, using arithmetic-geometric mean
    # See: en.wikipedia.org/wiki/Gauss-Legendre_algorithm
    from mpmath import *   # high floating point precision library
    # Note: below much is converted to high precision by use
    mp.dps = 45            # num of digits for calculations
    N = 4                  # number of steps
    print("Prec: ", mp.dps, ", iters: ", N)
    a = mpf(1)
    g = 1/sqrt(2)
    t = 1/mpf(4)
    p = 1
    for k in range(1, N+1):
        an = (a + g)/2     # arithmetic mean
        gn = sqrt(a*g)     # geometric mean
        tn  = t - p*(a - an)**2
        pn = 2*p
        a, g, t, p = an, gn, tn, pn
    print("   ", ((a + g)**2)/(4*t))  # approximate pi
    print("\npi:", pi)                # exact pi

    Here is a run of the above code:

        Pi, correct to 40 digits.
    (Bold Correct, Green incorrect)
    $ python3 Pie.py
     Prec:  45 , iters:  4
     3.141592653589793238462643383279502884197114678
    
     pi:
     3.1415926535897932384626433832795028841971694S
                1         2         3         4     
       123456789012345678901234567890123456789012345
    

        Pi, correct to 83 and 170 digits (separate runs).
    $ python3 Pie2.py
    Prec:  85 , iters:  5
    3.14159265358979323846264338327950288419716939937510582097494459230781640628620899
      862563
    pi: 
    3.14159265358979323846264338327950288419716939937510582097494459230781640628620899
      862803
               1         2         3         4         5         6         7         8
      12345678901234567890123456789012345678901234567890123456789012345678901234567890
      
    $ python3 Pie3.py Prec: 180 , iters: 6 3.14159265358979323846264338327950288419716939937510582097494459230781640628620899 86280348253421170679821480865132823066470938446095505822317253594081284811174502 8410270193621252485 pi: 3.14159265358979323846264338327950288419716939937510582097494459230781640628620899 86280348253421170679821480865132823066470938446095505822317253594081284811174502 8410270193852110556 1 2 3 4 5 6 7 8 12345678901234567890123456789012345678901234567890123456789012345678901234567890

    Items of Interest or for study: Here is a summary of results of the first 13 iterations, the last of which gives more than 40,000 digits of Pi. Even though 40,000-digit floating point accuracy is required in the calculations, only relatively few operation (a hundred or so) are needed. This method is far faster than others in this writeup. The 40,000 digits of Pi are obtained on my ancient PC with no noticable delay.

        Summary results for successive values of N.
    col 1: the value of N in the program
    col 2: actual num of correct digits produced each time
    col 3: = 2 times col2: expected correct digits next time
    col 4: extra correct digits actually produced next time
     (very slightly more than doubling each time)
      1   2       4       3
      2   7       14      4
      3   18      36      4
      4   40      80      3  (actual run above)
      5   83      166     4  (actual run above)
      6   170     340     4  (actual run above)
      7   344     688     5
      8   693     1386    5
      9   1391    2782    5
      10  2787    5574    7
      11  5581    11162   8
      12  11170   22340   7
      13  22347  > 40000  A BIT QUICKER THAN DOUBLING
    

    History: In 1853 Willian Shanks calculated 527 correct digits of pi (plus 6 incorrect digits at the end). For the next 20 years he extended his calculations to 707 digits. During his lifetime he was famous for this effort, and only long after his death did it come out that all 20 years worth of digits were incorrect.

    In 1961, Shanks (a different one) and Wrench used a powerful IBM 7090 to calculate 100000 correct digits of pi in 8.7 hours, checking the result by another method.

    Just now (2023) I've used my modest 2018 double CPU Dell tower and the above algorithm to produce 100000 digits of pi (correctness easily checked online). This took only a fraction of one second in wall-clock time (including input/output).


More about pi: See: The Number Pi.

(Revision date: 2023-11-07. Please use ISO 8601, the International Standard.)