| |
 |
CS 3723
Programming Languages |
RE −−> NFA |
Regular Expression −−>
NFA with ε-moves:
Given an arbitrary regular expression R,
it describes a language, that is,
a set of strings of symbols over some alphabet.
From R, we want to
create an NFA with ε-moves called N so that
N accepts any string described by R and rejects
any other string. Then we would implement N with a program.
The result a regular expression recognizer.
First we will translate R into RPN notation, including an explicit
concatenation operator +. This allows us to break
R up into a sequence of
elementary steps, each one using a single operator.
Then we handle the operators one-at-a-time to translate to
N. The table below shows how this can be done,
with each component regular expression on the left and
the corresponding NFA on the right.
Regular Expression |
NFA with ε-moves Constructed |
|
Specific Example: In the rest of
this page,
I'll focus on a specific regular expression.
Suppose we want to use the RE (ab|aac).
First concatenate .* at the left to get:
Why are we doing this?
Example (Overview):
Here is a sequence of regular expressions, bulding up R
one operation at a time (in several cases two operations are
combined together below):
| Regular Expression | NFA Name |
NFA with ε-moves |
R1 = .
(matches any symbol) |
N1 |
 |
R2 = R1*
(star operator) |
N2 |
 |
R3 = ab
(concatenation) |
N3 |
 |
R4 = aac
(concatenation twice) |
N4 |
 |
| |
Regular Expression | NFA Name |
NFA with ε-moves |
R5 = R3
| R4
(or operator) |
N5 |
 |
R = R2R5
(concatenation) |
N |
 |
 |
|
Example (Creating the NFA):
- Regular Expression:
.*(ab|aac)$
- RPN Form or Regular Expression:
.*ab+aa+c+|+$
Input Processed |
NFA (so far) |
Edges Added |
NFA (graph representation) | Controlling Stack |
| . |
 |
0 . 1 |
0 --> [., 1]
1 |
[0, 1](top)
|
|
.* |
 |
1 @ 0
1 @ 3
2 @ 3
2 @ 0 |
0 --> [., 1]
1 --> [@, 0] --> [@, 3]
2 --> [@, 3] --> [@, 0]
3 |
[2, 3](top)
|
|
.*ab+ |
 |
4 a 5
6 b 7
5 @ 6 |
4 --> [a, 5]
5 --> [@, 6]
6 --> [b, 7]
7 |
[4, 7](top)
[2, 3]
|
.*ab+aa+c+ (2 steps) |
 |
8 a 9
10 a 11
9 @ 10
12 c 13
11 @ 12 |
8 --> [a, 9]
9 --> [@,10]
10 --> [a,11]
11 --> [@,12]
12 --> [c,13]
13 |
[8,13](top)
[4, 7]
[2, 3] |
.*ab+aa+c+|+ (2 steps)
 |
7 @ 15
13 @ 15
14 @ 4
14 @ 8
3 @ 14 |
0 --> [., 1]
1 --> [@, 0] --> [@, 3]
2 --> [@, 3] --> [@, 0]
3 --> [@,14]
4 --> [a, 5]
5 --> [@, 6]
6 --> [b, 7]
7 --> [@,15]
8 --> [a, 9]
9 --> [@,10]
10 --> [a,11]
11 --> [@,12]
12 --> [c,13]
13 --> [@,15]
14 --> [@, 8] --> [@, 4]
15 --> |
[2,15](top) |
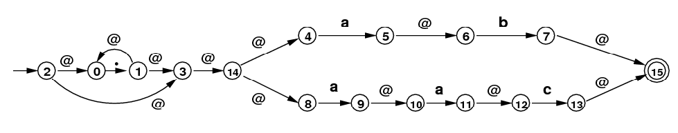
Example (Simulating the NFA):
You'll be using my software to do this simulation.
- Input String to Match:
cabcaaacabac$
NFA (graph representation) |
Simulation Trace |
Reg. Expr: .*(ab|aac)$
RPN Form: .*ab+aa+c+|+$
The NFA as a graph:
0 --> [., 1]
1 --> [@, 0] --> [@, 3]
2 --> [@, 3] --> [@, 0]
3 --> [@,14]
4 --> [a, 5]
5 --> [@, 6]
6 --> [b, 7]
7 --> [@,15]
8 --> [a, 9]
9 --> [@,10]
10 --> [a,11]
11 --> [@,12]
12 --> [c,13]
13 --> [@,15]
14 --> [@, 8] --> [@, 4]
15 -->
|
Input string to match:
cabcaaacabac$
Successive sets of states:
| 1 1 1 1 1 1
| 0 1 2 3 4 5 6 7 8 9 0 1 2 3 4 5
| - - - - - - - - - - - - - - - -
: 0 0 1 0 0 0 0 0 0 0 0 0 0 0 0 0 s
: 1 0 1 1 1 0 0 0 1 0 0 0 0 0 1 0 s
c: 1 1 0 1 1 0 0 0 1 0 0 0 0 0 1 0
a: 1 1 0 1 1 1 1 0 1 1 1 0 0 0 1 0
b: 1 1 0 1 1 0 0 1 1 0 0 0 0 0 1 1 t
c: 1 1 0 1 1 0 0 0 1 0 0 0 0 0 1 0
a: 1 1 0 1 1 1 1 0 1 1 1 0 0 0 1 0
a: 1 1 0 1 1 1 1 0 1 1 1 1 1 0 1 0
a: 1 1 0 1 1 1 1 0 1 1 1 1 1 0 1 0
c: 1 1 0 1 1 0 0 0 1 0 0 0 0 1 1 1 t
a: 1 1 0 1 1 1 1 0 1 1 1 0 0 0 1 0
b: 1 1 0 1 1 0 0 1 1 0 0 0 0 0 1 1 t
a: 1 1 0 1 1 1 1 0 1 1 1 0 0 0 1 0
c: 1 1 0 1 1 0 0 0 1 0 0 0 0 0 1 0
|
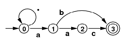
Example (Without ε-moves:)
Here is the final NFA with ε-moves (called N above)
written
in a simple way as an NFA without ε-moves.
It will be a recitation exercise to transform this into
a DFA that accepts the same language.
Example (Details about creating the NFA):
[To be filled in.]
Revision date: 2014-08-30.
(Please use ISO
8601, the International Standard.)
|