| |
 |
CS 3723
Programming Languages |
NFAs with ε Moves |
Introduction.
You should first study the web pages:
NFAs with ε moves:
Here one allows transitions labeled with ε, the
empty string. This means that you can follow such an arrow without
consuming any input symbols. The NFA on the left shows how useful
epsilon moves are in recognizing regular expressions with the example
a*b*c*: which is "zero of more as,
followed by zero or more bs, followed by zero of more cs".
(The diagram uses "eps" for ε.)
On the right is a DFA that recognizes the same language.
Notice some new things about this DFA: three states are terminal ones,
including the start state. There is an "error" state, with label
the empty set
Ø, and it is not terminal. If you transition to that state, you
can't get out and you can't accept. This state could also have
been labeled as: error. The empty set can also be
denoted by { }.
A refinement or expansion of the
Subset Algorithm shows how
to construct this DFA.

NFA for a*b*c*
|

DFA for
a*b*c* |
| Subset Algorithm
(Tables) |
| DFA,
a*b*c* |
| States | a | b | c |
| {0,1,2} (start,term) |
{0,1,2} | {1,2} | {2} |
| {1,2} (term) |
Ø | {1,2} | {2} |
| {2} (term) |
Ø | Ø | {2} |
| Ø |
Ø | Ø | Ø |
|
|
ε-closure:
The key to constructing a DFA from an
NFA with ε-moves is
the ε-closure algorithm. The starts with a
set of states and find all additional states that can be
reached from the given states using ε-moves.
The algorithm below uses a stack to carry out a depth-first search.
We could just as well have used a queue instead of a stack,
and carried out a breadth-first search, since the order of
visiting nodes doesn't matter in this case.
Algorithm:
ε-closure
Input:
an NFA with ε-moves N, a set P of states.
Output: ε-closure(P), which is P along with all
states reachable from P by a sequence of ε-moves.
Method: use stack S to carry out a depth-first search
// black means in ε-closure(P)
color all states white
color all states of P black
push all states of P onto S
while (S not empty) {
u = pop(S)
for (each edge (u,v) labeled ε) {
if (v has color white) {
color v black
push v onto S
}
}
}
ε-closure(P) = black states
|
| |
|
The subset algorithm for an NFA with ε-moves
is the same as the one for ordinary NFAs, except that each
time a subset is constructed, it must have the
ε-closure algorithm (at the left) applied to it.
In the above case, the start state of the NFA is 0,
so the start state of the DFA is not {0} but
ε-closure({0}) = {0,1,2}.
Transitions on b from 0, 1, or 2 only go to 1.
Then ε-closure({1}) = {1,2}.
There are no transitions on a from 1 or 2, so the set
in this case is Ø, the empty set. The
empty set is a subset that serves as an error state.
|
|
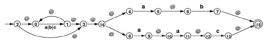
Large Example:
Let's look at a more complicated example:
This is the NFA generated for the RE:
"(a|b|c)*(ab|aac)" .
Converting this to a DFA may be a homework problem.
(Revision date: 2014-09-16.
Please use ISO
8601, the International Standard.)
|