| |
 |
CS 3723
Programming Languages
|
Activation Records
Functions & Recursion |
[Note: All parts of this page use integer features of MIPS.]
Activation Records in General.
If one properly uses a stack at runtime to support function calls,
this approach implements recursion "for free", without any additional
effort. At run time, each called function is supported by an
activation record, which is storage on the stack dedicated
to that particular call of that specific function.
The MIPS architecture gives minimal hardware support for
recursive functions, so everything must be done "by hand".
The activation record needs to provide storage (at runtime) for at
least the following items:
- The return address (address from which the function was called).
A function might be called from any number of places, including
from within itself (recursive call) from any number of places.
- The value returned by the function
(which might be a pointer).
- Locations to hold values of actual parameters fed
to the function. (These can be expressions.) After the function is
called, these locations function as the formal parameters.
They behave like local variables.
- Space for (non-static, automatic) local variables
used by the function.
The work below uses a running example of a function of two
parameters: a "raise-to-a-power" function. This has two parameters
and doesn't require any local variables besides registers, so the
activation record will hold 4 items, as shown in the illustration below.
(The order of these items was an arbitrary choice.)
This diagram shows the stack before the function is called.
The "stack pointer", denoted by $sp, points to one
location beyond the top of the stack, that is, it points to the
first available location. Since we are working with doubles, we
will only consider 8-byte items on the stack, although the return
address takes up only 4 bytes.
[The diagrams show the special MIPS "stack pointer" $sp
used to access the MIPS system stack. This is what one would
normally use. In order to avoid any possible problems with
the official stack pointer, I chose to allocate storage on
a user-defined stack pointer, using the register $s2 for it.
We have been using $s1 to save the return address
of our MIPS function main.]
In the diagram below, the stack pointer "old $sp" might be pointing
to the bottom of the stack, with nothing below it. Alternatively,
which is below will be the mostly recently called function that is
still active (has not yet returned). Assume that the next thing
to do is to call a function (in fact a pow or rtp function).
The old $sp calculates the
two actual parameters, and inserts them into the stack, into locations
that will be part of the activation record of the function to be called.
These locations are shown in red below.
Stack for Activation
Records: Before Function Is Called, First Insert Parameter Values |
STACK
| | | Next (recursive)
|--------------| | Activation
| | | Record
===|==============|=== -------+
old -24 ---> | Insert P2 | |
|--------------| | Space for Next
old -16 ---> | Insert P1 | | Activation
|--------------| | Record
old -8 ---> | | | (or first one)
|--------------| |
old $sp ---> | | |
===|==============|=== -------+
old +8 ---> | Parameter 2 | |
|--------------| | Previous (current)
old +16 ---> | Parameter 1 | | Activation
|--------------| | Record
old +24 ---> | Return value | | (if present)
|--------------| |
old +32 ---> | Return addr | |
===|==============|=== --------+
|
After the function is called (control is passed to the function),
the function first allocated an activation record on the stack,
in this example by decrementing the $sp by 32
($sp = $sp - 32).
(This stack is growing toward smaller memory locations.)
The function can now "find" the values of actual parameters
at known offsets. These locations become the formal parameters
for the function. First the function inserts its return address
into the activation record (MIPS gives access to this return address).
Then the function does its computations, ending with a value
to return, which is inserted into the activation record.
During its execution, the function may have called other functions,
and each of those will push additional activation records onto the
stack. By the time this function returns, all other called functions
will have returned, so there is nothing above the current activation
record. Finally, the called function deletes (deallocates) its
activation record by incrementing $sp by 32. The function then
returns control to the place from which is was called.
[It's important to realize that there is only one register $sp.
"Old" and "new" above refer to different values stored in the
register at different times.]
Stack for Activation
Records: Function Executes,
Insert RetAdd, Calculate and Insert Return Value |
STACK
| | | Next (recursive)
|--------------| | Activation
| | <--- new $sp | Record
===|==============|=== -------+
old -24 ---> | Parameter 2 | <--- new +8 |
|--------------| | New (current)
old -16 ---> | Parameter 1 | <--- new +16 | Activation
|--------------| | Record
old -8 ---> | Insert RetVal| <--- new +24 |
|--------------| |
old $sp ---> | Insert RetAdd| <--- new +32 |
===|==============|=== -------+
old +8 ---> | Parameter 2 | |
|--------------| | Old (previous)
old +16 ---> | Parameter 1 | | Activation
|--------------| | Record
old +24 ---> | Return value | | (if present)
|--------------| |
old +32 ---> | Return addr | |
===|==============|=== --------+
|
Now, as shown below, the calling function can access the value returned
by the function that it called. The calling function will usually
have its own activation record (as shown), but it is the main
function, it will have no activation record.
Stack for Activation
Records: After Function Returns,
Retrieve Return Value |
STACK
| | | Next (recursive)
|--------------| | Activation
| | <--- new $sp | Record
===|==============|=== -------+
old -24 ---> | Parameter 2 | <--- new +8 |
|--------------| | Old deallocated
old -16 ---> | Parameter 1 | <--- new +16 | Activation
|--------------| | Record
old -8 ---> |Retrieve RetV | <--- new +24 |
|--------------| |
old $sp ---> | Old RetAdd | <--- new +32 |
===|==============|=== -------+
old +8 ---> | Parameter 2 | |
|--------------| | Current (restored)
old +16 ---> | Parameter 1 | | Activation
|--------------| | Record
old +24 ---> | Return value | | (if present)
|--------------| |
old +32 ---> | Return addr | |
===|==============|=== --------+
|
Our Specific Example: c = a ^ b.
We will start with a simple pow function:
The table on the right below shows a Python function to do the
calculation using a loop, and another function using recursion
and based on the definition above.
| Python a^b Functions |
Output |
# atob.py: find c = a^b
import sys
def pow0(a, b): # loop
c = 1
while b != 0:
c = c*a
b = b - 1
return c
def powr(a, b): # recursion
if b == 0:
return 1
return a*powr(a, b-1)
def powd(a, b): # recursion debug
if b == 0:
res = 1
else:
res = a*powd(a, b-1)
output("Call: ", a, b, res)
return res
def output(s, a, b, c):
sys.stdout.write(s + "a:%.17g" % a)
sys.stdout.write(", b:%.17g" % b)
sys.stdout.write((", a^b:%.17g" % c)
+ "\n")
a = float(raw_input( "-->" ))
b = float(raw_input( "-->" ))
c = pow0(a, b)
cr = powr(a, b)
output("Loop: ", a, b, c)
output("Recurs: ", a, b, cr)
# cd = powd(a, b) # only for 7^10, .9^7
# output("debug: ", a, b, cd) # ditto
| % python atob.py
-->7
-->10
Loop: a:7, b:10, a^b:282475249
Recurs: a:7, b:10, a^b:282475249
Call: a:7, b:0, a^b:1
Call: a:7, b:1, a^b:7
Call: a:7, b:2, a^b:49
Call: a:7, b:3, a^b:343
Call: a:7, b:4, a^b:2401
Call: a:7, b:5, a^b:16807
Call: a:7, b:6, a^b:117649
Call: a:7, b:7, a^b:823543
Call: a:7, b:8, a^b:5764801
Call: a:7, b:9, a^b:40353607
Call: a:7, b:10, a^b:282475249
debug: a:7, b:10, a^b:282475249
-->1.6180339887498949
-->28
Loop: a:1.6180339887498949, b:28, a^b:710646.99999859335
Recurs: a:1.6180339887498949, b:28, a^b:710646.99999859335
-->2
-->31
Loop: a:2, b:31, a^b:2147483648
Recurs: a:2, b:31, a^b:2147483648
-->0.9
-->7
Loop: a:0.90000000000000002, b:7, a^b:0.47829690000000014
Recurs: a:0.90000000000000002, b:7, a^b:0.47829690000000014
Call: a:0.90000000000000002, b:0, a^b:1
Call: a:0.90000000000000002, b:1, a^b:0.90000000000000002
Call: a:0.90000000000000002, b:2, a^b:0.81000000000000005
Call: a:0.90000000000000002, b:3, a^b:0.72900000000000009
Call: a:0.90000000000000002, b:4, a^b:0.65610000000000013
Call: a:0.90000000000000002, b:5, a^b:0.59049000000000018
Call: a:0.90000000000000002, b:6, a^b:0.53144100000000016
Call: a:0.90000000000000002, b:7, a^b:0.47829690000000014
debug: a:0.90000000000000002, b:7, a^b:0.47829690000000014
|
Now I want to code these by hand into MIPS.
I want to take input variables a and b,
calculating a^b,
and leaving the result in a variable c. However, in order to
keep things simpler and shorter, I'm not using any memory locations
below for variables, but I'm only using registers and the
activation records. How the double registers are used
is shown in the first table on the left below.
The MIPS program pow0.s on the left below shows a very simple loop to
calculate a^b, using the register conventions. The MIPS program
powr.s on the right uses recursion instead of a loop. This program
uses a single sequence of recursive calls, so that at the end
we can see all the activation records that were used. (None of
the storage was overwritten during execution. In more complex
programs, the stack of activation records might grow and shrink
many times.) The diagram on the left below shows the
11 activation records used to calculate 7^10, at levels
0 (the first one), through 10.
| Variables to Registers |
# mapping of variables to registers:
# $f0 (used for input)
# a = $f2
# b = $f4
# c = $f6 (at end c=a^b)
# 0 = $f8 (constant)
# 1 = $f10 (constant)
# $f12 (used for output)
# $f14 (for return value)
# 2 = $f16 (constant)
# $f18 (temporary)
#
# $s1 (address of M)
# $s2 (address of stack)
|
| Level |
Activation
Records for 7^10 |
|---|
| P 2 | P 1 |
Return Value | Ret Addr |
| 10 | 0 | 7 | 1 | 4194656 |
| 9 | 1 | 7 | 7 | 4194656 |
| 8 | 2 | 7 | 49 | 4194656 |
| 7 | 3 | 7 | 343 | 4194656 |
| 6 | 4 | 7 | 2401 | 4194656 |
| 5 | 5 | 7 | 16807 | 4194656 |
| 4 | 6 | 7 | 117649 | 4194656 |
| 3 | 7 | 7 | 823543 | 4194656 |
| 2 | 8 | 7 | 5764801 | 4194656 |
| 1 | 9 | 7 | 40353607 | 4194656 |
| 0 | 10 | 7 | 282475249 |
4194396 |
| |
| a^b, with simple loop |
### pow0.s: calculate c = a^b
main: addu $s7, $ra, $zero
# addr of M: constants, vars, temps
la $s1, M
# read a as double
li $v0, 7
syscall
mov.d $f2, $f0
# read b as double
li $v0, 7
syscall
mov.d $f4, $f0
### end reading, start processing
l.d $f8, 0($s1) # 0.0
l.d $f10, 8($s1) # 1.0
l.d $f6, 8($s1) # c=1
WhileStart0:
c.eq.d $f4, $f8 # if b==0
bc1t WhileEnd0 # goto
mul.d $f6, $f6, $f2 # c=c*a
sub.d $f4, $f4, $f10 # b=b-1
j WhileStart0
WhileEnd0:
### return to system
addu $ra, $s7, $zero
jr $ra
.data
.align 3
M: .double 0.,1.
Blank: .asciiz " "
NewL: .asciiz "\n"
|
<−− Red at left = return to main.
|
| a^b, recursive |
1
2
3
4
5
6
7
8
9
10
11
12
13
14
15
16
17
18
19
20
21
22
23
24
25
26
27
28
29
30
31
32
33
34
35
36
37
38
39
40
41
42
43
44
45
46
47
48
49
50
51
52
53
54
55
56
57
58
59
60
61
62
63
64
65
66
67
68
69
70
71
72
73
74
75
76 |
### powr.s: act. records and recursion
main: addu $s7, $ra, $zero
# addr of S, M: stack, constants
la $s2, S stack (act recs)
la $s1, M const 0.0, 1.0
### start of compiled code
# 2 constants
l.d $f8, 0($s1) # 0.0
l.d $f10, 8($s1) # 1.0
# read a as double, store as param1
# in the activation record
li $v0, 7
syscall
s.d $f0, -16($s2)
# read b as double, store as param2
# in the activation record
li $v0, 7
syscall
s.d $f0, -24($s2)
# call function
jal pow
l.d $f14, -8($s2) # ret val
# print return value, obtained
# from the activation record
li $v0, 3
l.d $f12, -8($s1)
syscall
# print NewL as ASCII char
li $v0, 4
la $a0, NewL
syscall
# return to system
addu $ra, $s7, $zero
jr $ra
########## body of pow function #######
pow:
# push activation record
addi $s2, $s2, -32
# save return address on stack
sw $ra, 32($s2)
# load parameters from activation record
l.d $f2, 16($s2) # a
l.d $f4, 8($s2) # b
# main part of function
l.d $f6, 8($s1) # c=1
# check for end to recursion
c.eq.d $f4, $f8 # if b==0
bc1t RecursEnd
# get ready for recursive call
sub.d $f4, $f4, $f10 # b=b-1
# insert 1st and 2nd parameters
s.d $f2, -16($s2) # a
s.d $f4, -24($s2) # b-1
# call function (recursive)
jal pow
l.d $f14, -8($s2) # ret val
# multiply value returned by a
mul.d $f6, $f14, $f2 # c=c*a
RecursEnd:
# insert return value
s.d $f6, 24($s2)
# restore return address from stack
lw $ra, 32($s2)
# pop activation record
addi $s2, $s2, 32
# return
jr $ra
######### end of pow function #########
.data
.align 3
T: .space 1000
S:
M: .double 0.,1.
Blank: .asciiz " "
NewL: .asciiz "\n"
Tab: .asciiz "\t"
|
Overview of execution:
main: 8-21, call pow
pow: repeat 10 times: 36-55
call pow recursively
each time push one AR
pow: 36-48, 61-67, push last AR
return from pow to pow
pow; repeat 10 times: 56-67
multipy by a; delete one AR
return from pow to pow
main: return to main to after call to pow.
22-35, print ans, return to system
|
| |
| Trace of pow, inputs 7.0 and 10.0 |
| | Lines | Action |
Synbols |
m a i n |
| 8-9 | Load constants 0.0, 1.0 |
$f8=0.0; $f10=1.0 |
| 12-19 | Read inputs: 7.0, 10.0
Store as params into AR0 |
AR0[0]=10.0; AR0[1]=7.0; |
| 21 | Call pow |
jal pow |
| | | |
A R 0 |
| 36 | Start executing pow |
pow: |
| 38 | Allocate AR0 (includes 2 params) |
|
| 40 | Save return address in AR0 |
AR0[3] = $ra |
| 42-43 | Load params from AR0 into regs
7.0 into $f2, 10.0 into $f4 |
$f2=AR0[1]; $f4=AR0[0]; |
| 45 | Load 1.0 into $f6, value to return |
$f6=1.0 |
| 47 | Check $f4 (== 10.0) against 0.0 |
$f4!=0.0 |
| 48 | do NOT branch to RecursEnd |
continue at line 50 |
| 50 | Subtract 1 from $f4 |
$f4=$f4-1; ($f4==9.0) |
| 52-53 | Store params (7.0,9.0) into AR1 |
AR1[1]=$f2 (==7.0)
AR1[0]=$f4 (==9.0) |
| 55 | Call pow recursively |
jal pow |
| |
A R 1 |
| 36 | executing pow again | pow: |
| 38-55 | Same as before, except:
AR0 ==> AR1; AR1 ==> AR2;
10.0 ==> 9.0; 9.0 ==> 8.0 | |
| Act Recs: AR2 through AR9, with 8.0 through 1.0 |
A R 1 0 |
| 36 | executing pow again | pow: |
| 38-47 | Similar to before, except:
AR9 ==> AR10; 1.0 ==> 0.0; | |
| 48 | DO branch to RecursEnd (line 59).
Do NOT call pow |
RecursEnd: |
| 61 | Insert return value into AR10[2] |
AR10[2]=$f6 |
| 63 | Restore return address from AR[3] |
$ra=AR10[3] |
| 65 | Delete current activation record |
|
| 67 | Use $ra above to return. |
jr $ra |
| | | |
A R 9 |
| 56 | return to just after call to pow | |
| 56 | return to just after call to pow
load return value from AR10[2] |
$f14 = AR10[2]; |
| 58 | mult ret value by a, store in $f6 |
mul.d $f6,$f14,$f2 |
| 61 | Insert ret value into act rec |
AR10[2]=$f6 |
| 63-67 | Just as above |
|
Act Recs: AR8 down to AR0, mul-->t by 7.0 each time.
Last return goes back to line 22 in main program. |
m a i n |
| 22 | Load ret value from AR0 into $f12 |
| 25-27 | Print return value |
| 29-31 | Print newline |
| 31-35 | Return to system |
|
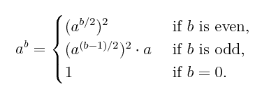
Fancy Exponentiation.
This example uses a more complex raise-to-a-power algorithm,
given by the equations below. Here the recursion is essential, unless
one completely rewrites the algorithm. However, again in this
case there is only a single tower of recursive calls, so that
a dump at the end again shows all the activation records.
At the end are two tables showing them for example runs.
| Python a^b Functions |
Output |
# atob_fancy.py: find c = a^b
import sys
def atob(a, b): # formula
if b == 0:
return 1
if b%2 == 0:
return atob(a, b/2)**2
return atob(a, (b-1)/2)**2 * a
def atobd(a, b): # debug version
if b == 0:
res = 1
elif b%2 == 0:
res = atobd(a, b/2)**2
else:
res = atobd(a, (b-1)/2)**2 * a
output("Call: ", a, b, res)
return res
def output(s, a, b, c):
sys.stdout.write(s + "a:%.17g" % a)
sys.stdout.write( ", b:%.17g" % b)
sys.stdout.write((", a^b:%.17g" % c)
+ "\n")
a = float(raw_input( "-->" ))
b = float(raw_input( "-->" ))
c = atob(a, b)
output("Fancy: ", a, b, c)
sys.stdout.write("\nDebug version:\n")
c = atobd(a, b)
output("Debug: ", a, b, c)
| % python atob_fancy.py
-->1.6180339887498949
-->57
Fancy: a:1.6180339887498949, b:57, a^b:817138163596.00073
Debug version:
Call: a:1.6180339887498949, b:0, a^b:1
Call: a:1.6180339887498949, b:1, a^b:1.6180339887498949
Call: a:1.6180339887498949, b:3, a^b:4.2360679774997898
Call: a:1.6180339887498949, b:7, a^b:29.034441853748636
Call: a:1.6180339887498949, b:14, a^b:842.99881375871053
Call: a:1.6180339887498949, b:28, a^b:710646.99999859312
Call: a:1.6180339887498949, b:57, a^b:817138163596.00073
Debug: a:1.6180339887498949, b:57, a^b:817138163596.00073
-->2
-->973
Fancy: a:2, b:973, a^b:7.9833612381388792e+292
Debug version:
Call: a:2, b:0, a^b:1
Call: a:2, b:1, a^b:2
Call: a:2, b:3, a^b:8
Call: a:2, b:7, a^b:128
Call: a:2, b:15, a^b:32768
Call: a:2, b:30, a^b:1073741824
Call: a:2, b:60, a^b:1.152921504606847e+18
Call: a:2, b:121, a^b:2.6584559915698317e+36
Call: a:2, b:243, a^b:1.4134776518227075e+73
Call: a:2, b:486, a^b:1.997919072202235e+146
Call: a:2, b:973, a^b:7.9833612381388792e+292
Debug: a:2, b:973, a^b:7.9833612381388792e+292
|
Below is the recursive version of this program translated to
MIPS using activation records as in the previous program.
| a^b, Fancy
Algorithm |
1
2
3
4
5
6
7
8
9
10
11
12
13
14
15
16
17
18
19
20
21
22
23
24
25
26
27
28
29
30
31
32
33
34
35
36
37
38
39
40
41
42
43
44
45
46
47
48
49
50
51
52 |
### rtp.s: use activation records
main: addu $s7, $ra, $zero
# addr of S, M: stack, constants
la $s2, S stack (act recs)
la $s1, M const (0,1,2)
# 3 constants
l.d $f8, 0($s1) # 0.0
l.d $f10, 8($s1) # 1.0
l.d $f16, 16($s1) # 2.0
# read a as double, store as param1
li $v0, 7
syscall
s.d $f0, -16($s2)
# read b as double, store as param2
li $v0, 7
syscall
s.d $f0, -24($s2)
# call function
jal rtp
# get return value
l.d $f14, -8($s2)
# print return value
li $v0, 3
l.d $f12, -8($s1)
syscall
# print NewL as ASCII char
li $v0, 4
la $a0, NewL
syscall
# return to system
addu $ra, $s7, $zero
jr $ra
######### body of rtp function ####
rtp:
# push activation record
addi $s2, $s2, -32
# save return address on stack
sw $ra, 32($s2)
# load parameters
l.d $f2, 16($s2) # a
l.d $f4, 8($s2) # b
# start main part of function
l.d $f6, 8($s1) # c=1
# check for end to recursion
c.eq.d $f4, $f8 # if b==0
bc1t RecursEnd
|
# next check for even b
div.d $f18, $f4, $f16 # t1 = b/2
trunc.w.d $f18, $f18 # trunc(b)
cvt.d.w $f18, $f18 # to double
mul.d $f18, $f18, $f16 # mult by 2
sub.d $f18, $f4, $f18
c.eq.d $f18, $f8 # res comp to 0
bc1f BisOdd
# here b is non-zero and even
# get ready for recursive call
div.d $f4, $f4, $f16 # b = b / 2
# insert 1st and 2nd parameters
s.d $f2, -16($s2) # a
s.d $f4, -24($s2) # b/2
# call function (recursive)
jal rtp
l.d $f14, -8($s2) # return val
# square return value, result in c
mul.d $f6, $f14, $f14 # c = ret^2
b RecursEnd
BisOdd:
# here b is non-zero and odd
# get ready for recursive call
sub.d $f4, $f4, $f10 # b = b - 1
div.d $f4, $f4, $f16 # b = b / 2
# insert 1st and 2nd parameters
s.d $f2, -16($s2) # a
s.d $f4, -24($s2) # (b-1)/2
# call function (recursive)
jal rtp
l.d $f14, -8($s2) # return val
# square return value, result in c
mul.d $f6, $f14, $f14 # c = ret^2
# multiply by a
mul.d $f6, $f6, $f2
RecursEnd:
# insert return value
s.d $f6, 24($s2)
# restore return address from stack
lw $ra, 32($s2)
# pop activation record
addi $s2, $s2, 32
# return
jr $ra
######### end of rtp function ###########
.data
.align 3
T: .space 1000
S:
M: .double 0.,1.,2.
Blank: .asciiz " "
NewL: .asciiz "\n"
|
| Level |
Activation
Records for 2^973 |
|---|
| P 2 | P 1 |
Return Value | Ret Addr |
| 10 | 0 | 2 | 1 | 4194720 |
| 9 | 1 | 2 | 2 | 4194720 |
| 8 | 3 | 2 | 8 | 4194720 |
| 7 | 7 | 2 | 128 | 4194720 |
| 6 | 15 | 2 | 32768 | 4194688 |
| 5 | 30 | 2 | 1073741824 | 4194688 |
| 4 | 60 | 2 | 1.15292150e+18 | 4194720 |
| 3 | 121 | 2 | 2.65845599e+36 | 4194720 |
| 2 | 243 | 2 | 1.41347765e+73 | 4194688 |
| 1 | 486 | 2 | 1.99791907e+146 | 4194720 |
| 0 | 973 | 2 | 7.98336123e+292 | 4194400 |
| Red = return to main. |
| L | Activation
Records for φ^57 |
(Return Value)/sqrt(5) |
P 2 | P 1 |
Return Value | Return Address |
| 6 | 0 | φ | 1 | 4194720 |
0.4472135954999579≐F(0)=0 |
| 5 | 1 | φ | 1.6180339887498949 | 4194720 |
0.7236067977499789≐F(1)=1 |
| 4 | 3 | φ | 4.23606797749978981 | 4194720
| 1.8944271909999157≐F(3)=2 |
| 3 | 7 | φ | 29.0344418537486355 | 4194688
| 12.984597134749391≐F(7)=13 |
| 2 | 14 | φ | 842.998813758710526 | 4194688
| 377.0005305032323≐F(14)=377 |
| 1 | 28 | φ | 710646.999998593121 | 4194720
| 317811.0000006294≐F(28)=317811 |
| 0 | 57 | φ | 817138163596.000732 | 4194400
| 365435296162.0003≐F(57)=365435296162 |
Here is a python program (using high precision floats) that gives more
accurate values for the last two floats above
(see mpmath):
| φ^28 and
φ^57 |
% python power.py
from mpmath import *
import sys
mp.dps = 80
print "Precision: ", mp.dps
mp.dps = 100
print "Precision: ", mp.dps
five = mpf(5)
phi = (1 + sqrt(five))/2
print "phi: ", phi
print "phi**200: ", phi**200
print "F(200): ", phi**200 / sqrt(five)
python power.py
Precision: 80
phi: 1.618033988749894848204586834365638117720309179805
phi^28: 710646.9999985928316027479464165778158308091807432
phi^57: 817138163596.0000000000012237832530049452374054045
F(57) : 365435296161.9999999999994527074913110237343018279
1 2 3 4 5
12345678901234567890123456789012345678901234567890
|
|